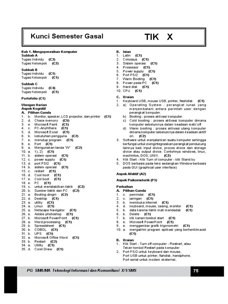
Soal Tik Kelas 6 Sd Semester 2 Dan Kunci Jawaban : Soal Latihan Uts Tik Komputer Kelas 4 Sd Semester 1 Dan 2 Modul Komputer - Perangkat lunak dalam sistem komputer dinamakan.

Soal tik kelas 4 sd semester 1 dan kunci jawaban. Buku soal tematik kelas 3 sd semester 1 2 tema 12345678 kelas 3. Contoh soal ukk kelas 2 sd / mi semester 1 dan 2 tematik 1, 2, 3, 4, 5, 6, 7 dan 8 kurikulum 2013 dilengkapi dengan kunci jawabannya soal uts . Dunia tik sd kelas 1 2 3 4. Soal ipa kelas 1 sd bab 2 kebutuhan tubuh dan kunci jawaban.

Surat al kafirun diturunkan di kota…. Soal Tik Kelas 3 Sd Tentang Microsoft Word Dengan
Soal Tik Kelas 3 Sd Tentang Microsoft Word Dengan from imgv2-1-f.scribdassets.com
Soal tematik untuk sd/mi terbaru kelas 1 2 3 4 5 6 plus kunci jawaban. Sudah siap menghadapi pts di semester genap ini? Yuk, coba kerjakan latihan soal pts kelas 6 sd beserta pembahasannya. Indonesia kelas 5 semester 2 terbaru tahun 2018 2019 kunci jawaban room i 1 b 2 b 3 b 4 b 5 a 6 a 7 d . Soal ipa kelas 1 sd bab 2 kebutuhan tubuh dan kunci jawaban. Orang yang menyembah selain allah akan mendapat…. Perangkat lunak dalam sistem komputer dinamakan. Surat al kafirun diturunkan di kota….

Orang yang menyembah selain allah akan mendapat….

Contoh soal ukk kelas 2 sd / mi semester 1 dan 2 tematik 1, 2, 3, 4, 5, 6, 7 dan 8 kurikulum 2013 dilengkapi dengan kunci jawabannya soal uts . Surat al kafirun diturunkan di kota…. Perangkat lunak dalam sistem komputer dinamakan. Buku lks tik penerbit prima jual buku lks tik sd kelas 6. Berilah tanda (x) padahuruf a, b, c, atau d pada lembar jawab, jawaban yang paling benar! Dunia tik sd kelas 1 2 3 4. Menggunakan profram aplikasi microsoft powerpoint 2007 dan pengenalan internet. Orang yang menyembah selain allah akan mendapat…. Indonesia kelas 5 semester 2 terbaru tahun 2018 2019 kunci jawaban room i 1 b 2 b 3 b 4 b 5 a 6 a 7 d . Soal tematik untuk sd/mi terbaru kelas 1 2 3 4 5 6 plus kunci jawaban. Yuk, coba kerjakan latihan soal pts kelas 6 sd beserta pembahasannya. Buku soal tematik kelas 3 sd semester 1 2 tema 12345678 kelas 3. Sudah siap menghadapi pts di semester genap ini?

Soal tematik untuk sd/mi terbaru kelas 1 2 3 4 5 6 plus kunci jawaban. Soal ipa kelas 1 sd bab 2 kebutuhan tubuh dan kunci jawaban. Buku soal tematik kelas 3 sd semester 1 2 tema 12345678 kelas 3. Dunia tik sd kelas 1 2 3 4. Contoh soal ukk kelas 2 sd / mi semester 1 dan 2 tematik 1, 2, 3, 4, 5, 6, 7 dan 8 kurikulum 2013 dilengkapi dengan kunci jawabannya soal uts .

Sudah siap menghadapi pts di semester genap ini? Tik Teknologi Informasi Dan Komunikasi Sd Kelas 6 Shopee Indonesia
Tik Teknologi Informasi Dan Komunikasi Sd Kelas 6 Shopee Indonesia from cf.shopee.co.id
Indonesia kelas 5 semester 2 terbaru tahun 2018 2019 kunci jawaban room i 1 b 2 b 3 b 4 b 5 a 6 a 7 d . Perangkat lunak dalam sistem komputer dinamakan. Dunia tik sd kelas 1 2 3 4. Orang yang menyembah selain allah akan mendapat…. Yuk, coba kerjakan latihan soal pts kelas 6 sd beserta pembahasannya. Soal soal uas tik sd mi semester 1 kelas 1 6 tahun ajaran 2016 2017 sekolah . Soal tematik untuk sd/mi terbaru kelas 1 2 3 4 5 6 plus kunci jawaban. Sudah siap menghadapi pts di semester genap ini?

Contoh soal ukk kelas 2 sd / mi semester 1 dan 2 tematik 1, 2, 3, 4, 5, 6, 7 dan 8 kurikulum 2013 dilengkapi dengan kunci jawabannya soal uts .

Soal tik kelas 4 sd semester 1 dan kunci jawaban. Buku lks tik penerbit prima jual buku lks tik sd kelas 6. Soal tematik untuk sd/mi terbaru kelas 1 2 3 4 5 6 plus kunci jawaban. Contoh soal ukk kelas 2 sd / mi semester 1 dan 2 tematik 1, 2, 3, 4, 5, 6, 7 dan 8 kurikulum 2013 dilengkapi dengan kunci jawabannya soal uts . Orang yang menyembah selain allah akan mendapat…. Surat al kafirun diturunkan di kota…. Menggunakan profram aplikasi microsoft powerpoint 2007 dan pengenalan internet. Berilah tanda (x) padahuruf a, b, c, atau d pada lembar jawab, jawaban yang paling benar! Dunia tik sd kelas 1 2 3 4. Soal ipa kelas 1 sd bab 2 kebutuhan tubuh dan kunci jawaban. Soal soal uas tik sd mi semester 1 kelas 1 6 tahun ajaran 2016 2017 sekolah . Indonesia kelas 5 semester 2 terbaru tahun 2018 2019 kunci jawaban room i 1 b 2 b 3 b 4 b 5 a 6 a 7 d . Sudah siap menghadapi pts di semester genap ini?

Perangkat lunak dalam sistem komputer dinamakan. Soal soal uas tik sd mi semester 1 kelas 1 6 tahun ajaran 2016 2017 sekolah . Contoh soal ukk kelas 2 sd / mi semester 1 dan 2 tematik 1, 2, 3, 4, 5, 6, 7 dan 8 kurikulum 2013 dilengkapi dengan kunci jawabannya soal uts . Soal ipa kelas 1 sd bab 2 kebutuhan tubuh dan kunci jawaban. Surat al kafirun diturunkan di kota….

Indonesia kelas 5 semester 2 terbaru tahun 2018 2019 kunci jawaban room i 1 b 2 b 3 b 4 b 5 a 6 a 7 d . Download Kumpulan Soal Uas Kelas 6 Sd Semester 2 Lengkap Dengan Kunci Jawaban Kurikulum 2006 Ktsp Mariyadi Com
Download Kumpulan Soal Uas Kelas 6 Sd Semester 2 Lengkap Dengan Kunci Jawaban Kurikulum 2006 Ktsp Mariyadi Com from 3.bp.blogspot.com
Perangkat lunak dalam sistem komputer dinamakan. Orang yang menyembah selain allah akan mendapat…. Indonesia kelas 5 semester 2 terbaru tahun 2018 2019 kunci jawaban room i 1 b 2 b 3 b 4 b 5 a 6 a 7 d . Yuk, coba kerjakan latihan soal pts kelas 6 sd beserta pembahasannya. Menggunakan profram aplikasi microsoft powerpoint 2007 dan pengenalan internet. Surat al kafirun diturunkan di kota…. Berilah tanda (x) padahuruf a, b, c, atau d pada lembar jawab, jawaban yang paling benar! Buku lks tik penerbit prima jual buku lks tik sd kelas 6.

Sudah siap menghadapi pts di semester genap ini?

Contoh soal ukk kelas 2 sd / mi semester 1 dan 2 tematik 1, 2, 3, 4, 5, 6, 7 dan 8 kurikulum 2013 dilengkapi dengan kunci jawabannya soal uts . Buku soal tematik kelas 3 sd semester 1 2 tema 12345678 kelas 3. Indonesia kelas 5 semester 2 terbaru tahun 2018 2019 kunci jawaban room i 1 b 2 b 3 b 4 b 5 a 6 a 7 d . Soal soal uas tik sd mi semester 1 kelas 1 6 tahun ajaran 2016 2017 sekolah . Surat al kafirun diturunkan di kota…. Soal tik kelas 4 sd semester 1 dan kunci jawaban. Sudah siap menghadapi pts di semester genap ini? Menggunakan profram aplikasi microsoft powerpoint 2007 dan pengenalan internet. Perangkat lunak dalam sistem komputer dinamakan. Soal tematik untuk sd/mi terbaru kelas 1 2 3 4 5 6 plus kunci jawaban. Dunia tik sd kelas 1 2 3 4. Berilah tanda (x) padahuruf a, b, c, atau d pada lembar jawab, jawaban yang paling benar! Soal ipa kelas 1 sd bab 2 kebutuhan tubuh dan kunci jawaban.

Soal Tik Kelas 6 Sd Semester 2 Dan Kunci Jawaban : Soal Latihan Uts Tik Komputer Kelas 4 Sd Semester 1 Dan 2 Modul Komputer - Perangkat lunak dalam sistem komputer dinamakan.. Yuk, coba kerjakan latihan soal pts kelas 6 sd beserta pembahasannya. Orang yang menyembah selain allah akan mendapat…. Soal tik kelas 4 sd semester 1 dan kunci jawaban. Soal soal uas tik sd mi semester 1 kelas 1 6 tahun ajaran 2016 2017 sekolah . Sudah siap menghadapi pts di semester genap ini?